患者心声 服务之星 电子院报
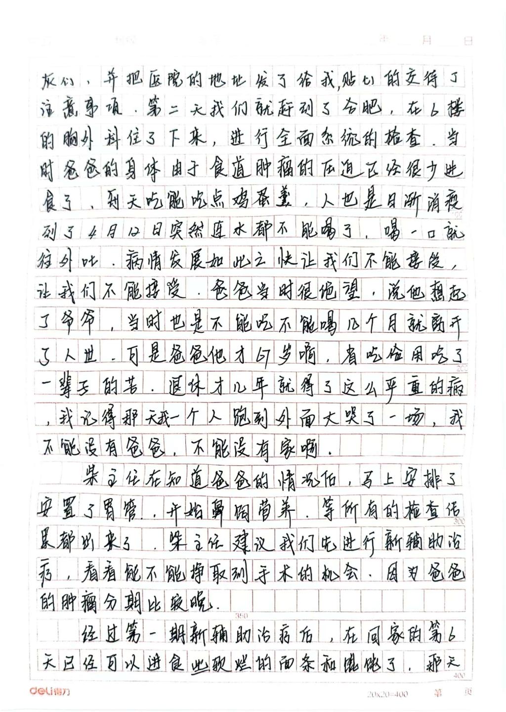
近日,胸外科患者及家属向柴惠平主任及团队赠送手写感谢信,向柴主任的精湛医术及崇高医德表达了深深的感激之情。(团委)
上一条:患者向超声科周燕医生赠送锦旗
下一条:患者向泌尿外科张震医生及全体医护人员赠送锦旗
【关闭】
门诊排班
就医流程
医保信息
健康体检
交通地图
常用电话
2026-01-01
2026-01-21
2026-01-20
2026-01-19
2026-01-09
2026-01-08
Copyright © 2022 安徽医科大学第一附属医院(北区)
地址:安徽省合肥市新站区淮海大道100号 门诊导医台:0551-66330199 行政总值班:19965130102
医德医风邮箱:sfydgb@163.com
网站备案/许可证号皖ICP备09010938号-2 皖ICP备09010938号-6皖公网安备 34019002600206号
微信挂号
支付宝挂号
安徽医疗便民